Free Board pada Tangki Penyimpanan Berdasarkan API 650
Memahami Definisi, Perhitungan, dan Standar Keamanannya
Apa itu Free Board?
Free board adalah jarak vertikal antara permukaan cairan maksimum dalam tangki dengan bagian terendah dari atap tangki atau top of shell. Tujuan utamanya adalah:
-
Mencegah tumpahan cairan saat tangki diisi penuh.
-
Mengantisipasi ekspansi termal cairan.
-
Menghindari risiko limpasan akibat gelombang cairan (sloshing) saat terjadi gempa.
Standar API 650 mengatur nilai minimum free board dan metode tambahan untuk menghitung tinggi gelombang akibat gempa, yang dikenal sebagai sloshing wave height.
Standar Minimum Free Board
Menurut API 650:
-
Tangki atap tetap (fixed roof) → diukur dari maximum liquid level hingga titik terendah atap atau top curb angle.
-
Tangki atap terapung (floating roof) → mempertimbangkan jarak gerak atap agar tidak menyentuh bagian atas tangki.
-
Minimum free board tanpa pertimbangan gempa biasanya ≥ 50 mm.
Namun, untuk tangki di wilayah rawan gempa, Annex E API 650 mengharuskan perhitungan tambahan untuk sloshing.
Pengaruh Gempa: Sloshing Wave Height
Gempa dapat menyebabkan fluida di dalam tangki berosilasi (sloshing), menciptakan gelombang yang bisa melampaui tinggi cairan normal.
Tinggi gelombang ini dihitung menggunakan parameter A_f (convective acceleration) dan diameter tangki DD dengan rumus:
Contoh Perhitungan
Data desain:
-
Diameter tangki (DD) = 40 m
-
Tinggi cairan (HH) = 12 m
-
Parameter seismik: Ss=0.7g, S1=0.4g
-
Periode panjang TL=10
-
Self-anchored (), Fa=Fv=1.0, Q=2/3, I=1.0.
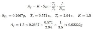
Langkah 1 – Hitung AfA_f:
Langkah 2 – Hitung δs:
Persyaratan Free Board API 650 Annex E
Menurut Table E.7 API 650:
-
Seismic Use Group (SUG) II → Free board = 0.7 × δs = 261 mm.
-
Seismic Use Group (SUG) III → Free board = δs = 373 mm.
-
SUG I → Tidak wajib, tetapi direkomendasikan 0.7 × δs.
Kesimpulan
Free board bukan sekadar jarak aman di bagian atas tangki, melainkan komponen penting untuk melindungi integritas tangki dan mencegah kerugian akibat tumpahan.
Dengan mengikuti metode API 650 Annex E, perancang dapat memastikan tangki aman terhadap efek gempa, termasuk sloshing.
Tips Desain
-
Selalu verifikasi Seismic Use Group fasilitas Anda.
-
Untuk lokasi rawan gempa, gunakan nilai free board sesuai hasil perhitungan Annex E.
-
Pertimbangkan secondary containment untuk mengurangi persyaratan free board.
-
Dokumentasikan semua asumsi perhitungan di design data sheet.


